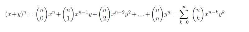
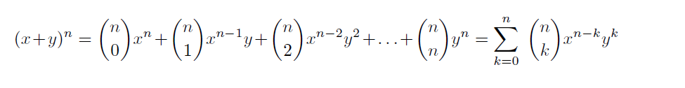
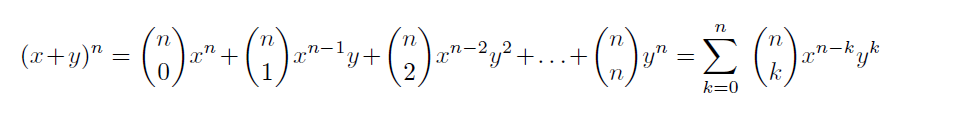
kocimokiem:

przed chwila zachwycałam się pięknem tego wzoru

Pobierz obrazek (15.9kiB)
2022/12/07 19:50:47 przez www, 3 , 3

Lubią to: ^kociaciocia, ^shigella, ^laperlla,
^laperlla: [^kocimokiem] wyglada jak kolia.
2022/12/07 19:54:18
^franka: [^kocimokiem] kurde, muszę sobie powtórzyć / przypomnieć matematykę. Od podstaw obawiam się.
2022/12/07 20:01:20
^agg: [^kocimokiem] która to klasa btw?
2022/12/07 20:14:55